Предмет: Геометрия,
автор: marileybl69
СРОЧНО помогите пожалуйста
Приложения:
Ответы
Автор ответа:
1
Ответ:
Объяснение:
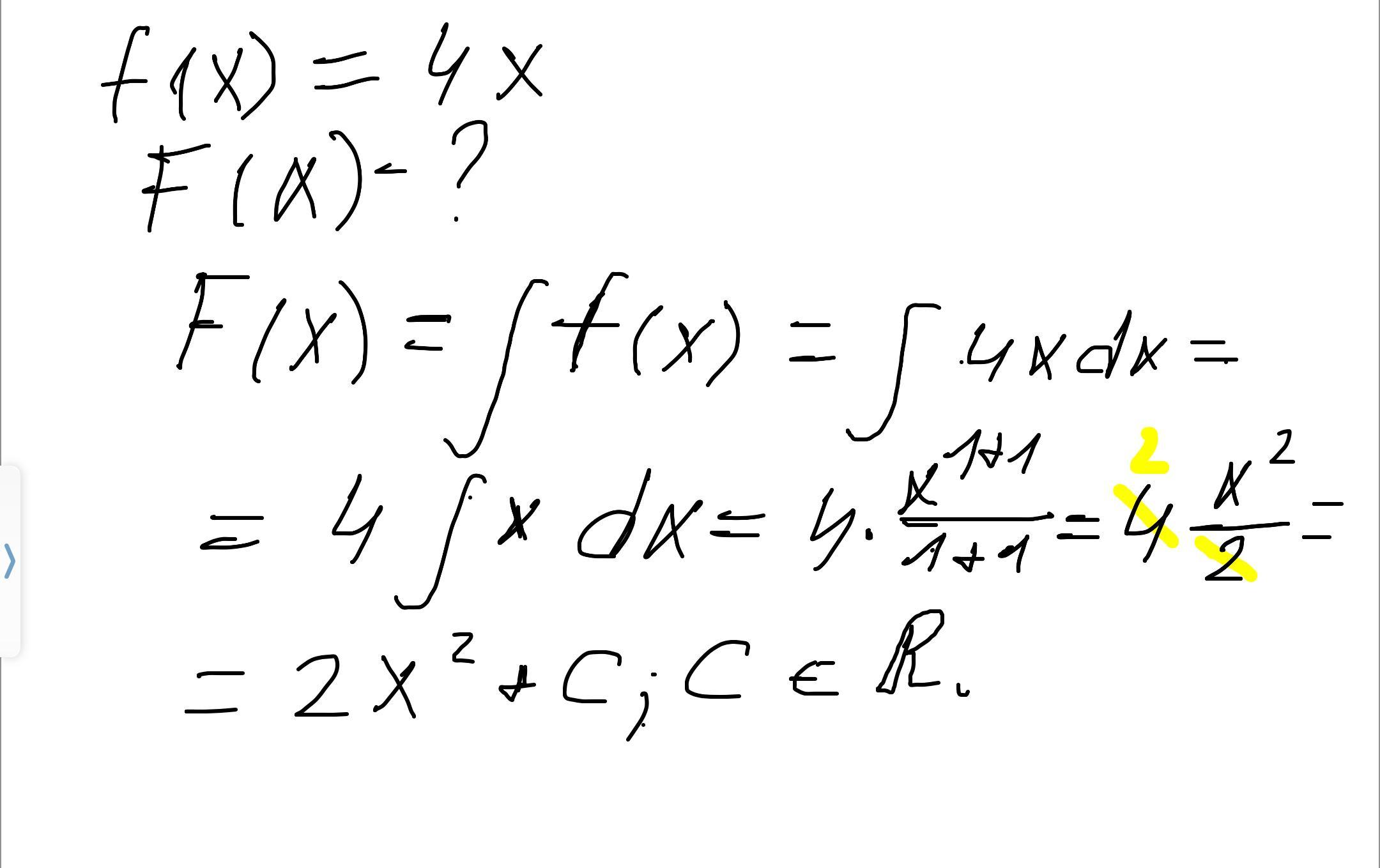
Здравствуйте , для нахождения первообразной функции f(x), нам необходимо взять неопределённый интеграл от данной функции. Решение отправлено на фото ниже.
С уважением, Владимир.
Приложения:
Похожие вопросы
Предмет: Другие предметы,
автор: cernavskij1305
Предмет: Алгебра,
автор: serikbiana2008
Предмет: Другие предметы,
автор: sekaiyoutub
Предмет: Алгебра,
автор: chikanovadiana75
Предмет: Алгебра,
автор: alina07love