Предмет: Математика,
автор: dfgaafsdb
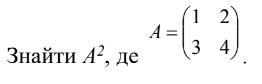
Высшая математика, нужна хэлпа пж
Приложения:
Ответы
Автор ответа:
1
Ответ:
3+2-4+1. вот ивсё! рил вышая математика
Похожие вопросы
Предмет: Алгебра,
автор: eparhom01
Предмет: История,
автор: aleksandrademcuk1
Предмет: Английский язык,
автор: Ksenun
Предмет: Обществознание,
автор: ksenyazajceva90
Предмет: Математика,
автор: aruka2332