Предмет: Математика,
автор: visjas
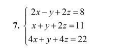
Решить систему линейных уравнений по правилу Крамера.
Приложения:
Ответы
Автор ответа:
1
Ответ:
вот
Пошаговое объяснение:
Приложения:
digry144:
Сами недавно проходили эту тему :)
Похожие вопросы
Предмет: Английский язык,
автор: azizablue008
Предмет: Литература,
автор: polinakursuk4
Предмет: Физика,
автор: popkabobra2768
Предмет: Математика,
автор: LittleKika31
Предмет: Алгебра,
автор: sonya160543