Предмет: Алгебра, автор: noname6769

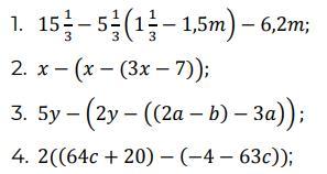
Раскройте скобки и приведите подобные слагаемые:

Приложения:

Ответы

Автор ответа: stephanik21443
1
Дай пожалуйста лучший ответ, здесь всё идеально правильно
Приложения:
Автор ответа: olegandrejcenko846
0

Ответ:

1)

8.4 + 1.75m

2)

3x - 7

3)

3y - a - b

4)

254c + 48

Объяснение:

1)

15 \frac{1}{3}  - 5 \frac{1}{3} (1 \frac{1}{3}  - 1.5m) -  \\  - 6.2m =  \\  =  \frac{46}{3}  -  \frac{16}{3} ( \frac{4}{3}  - 15m) - 6.2m =  \\  = 15.3 - 5.3(1.3 - 1.5m) - 6.2m =  \\  = 15.3 - 6.9 + 7.95 - 6.2m =  \\  = 8.4 + 1.75m

2)

x - (x - (3x - 7)) =  \\  = x - (x - 3x + 7) =  \\  = x - x + 3x - 7 =  \\  = 3x - 7

3)

5y - (2y - ((2a - b) -  \\  - 3a)) =  \\  = 5y - (2y - (2a - b - 3a)) =  \\  = 5y - (2y - 2a + b + 3a) =  \\  = 5y - 2y + 2a - b - 3a =  \\  = 3y - a - b

4)

2((64c + 20) - ( - 4 -  \\  - 63c)) =  \\  = 2(64c + 20 + 4 + 63c) =  \\  = 128c + 40 + 8 + 126c =  \\  = 254c + 48

Похожие вопросы
Предмет: Қазақ тiлi, автор: blackmanazam68
Предмет: Русский язык, автор: ksuwiixx
Предмет: Математика, автор: erzanovadilnaz
Предмет: Математика, автор: bvasilij019