Предмет: Алгебра, автор: cuitecuit050

9 задание, не четные (подчеркнутые). Помогите пожалуйста, дам 50 баллов​

Приложения:

Ответы

Автор ответа: NNNLLL54
1

Ответ:

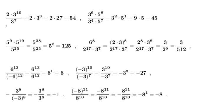
Применяем свойства степеней .

\bf \displaystyle \frac{2\cdot 3^{10}}{3^7}=2\cdot 3^3=2\cdot 27=54\ \ ,\ \ \ \frac{3^6\cdot 5^8}{3^4\cdot 5^7}=3^2\cdot 5^1=9\cdot 5=45\\ ,\\\\\\\frac{5^9\cdot 5^{19}}{5^{25}}=\frac{5^{28}}{5^{25}}=5^3=125\ \ ,\ \ \ \frac{6^8}{2^{17}\cdot 3^7}=\frac{(2\cdot 3)^8}{2^{17}\cdot 3^7}=\frac{2^8\cdot3^8}{2^{17}\cdot 3^7}=\frac{3}{2^9}=\frac{3}{512}\ \ ,  

\bf \displaystyle \frac{6^{13}}{(-6)^{12}}=\frac{6^{13}}{6^{12}}=6^1=6\ \ ,\ \ \ \frac{(-3)^{10}}{(-3)^7}=\frac{3^{10}}{-3^7}=-3^3=-27\ \ ,\\\\\\-\frac{3^8}{(-3)^8}=-\frac{3^8}{3^8}=-1\ \ ,\ \ \ \frac{(-8)^{11}}{8^{10}}=\frac{-8^{11}}{8^{10}}=-\frac{8^{11}}{8^{10}}=-8^1=-8\ \ .

Приложения:
Похожие вопросы
Предмет: Английский язык, автор: 16062009il
Предмет: Математика, автор: romkaxxx