Предмет: Математика, автор: sp13unchi1k

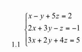
Довести а) методом Гауса або б) методом Штифеля,
що система лінійних рівнянь несумісна.

Приложения:

Ответы

Автор ответа: sonboretskaa
0

Ответ:

ответ 2 вроде правильно но я сомневаюсь

Приложения:
Автор ответа: dimaklik09
0

Відповідь:Система несумісна, тобто не має розв'язків.

Покрокове пояснення:

Давайте використаємо метод Гауса для доведення несумісності системи рівнянь:

Матричне представлення системи:

```

[ 1 -1 5 | 2 ]

[ 2 3 -1 | -1 ]

[ 3 2 4 | 5 ]

```

Спростимо її за допомогою елементарних операцій:

1. Помножимо перший рядок на -2 та додамо його до другого рядка:

```

[ 1 -1 5 | 2 ]

[ 0 5 -11 | -5 ]

[ 3 2 4 | 5 ]

```

2. Помножимо перший рядок на -3 та додамо його до третього рядка:

```

[ 1 -1 5 | 2 ]

[ 0 5 -11 | -5 ]

[ 0 5 -11 | -1 ]

```

3. Поділимо другий та третій рядки на 5:

```

[ 1 -1 5 | 2 ]

[ 0 1 -11/5 | -1 ]

[ 0 1 -11/5 | -1/5 ]

```

4. Віднімемо другий рядок від третього:

```

[ 1 -1 5 | 2 ]

[ 0 1 -11/5 | -1 ]

[ 0 0 0 | 4/5 ]

```

Отже, ми отримали останній рядок вигляду `0x + 0y + 0z = 4/5 = 0.8`. Це неможливо, оскільки це вказує на нереалістичний рівняння `0 = 0.8`. Отже, система несумісна, тобто не має розв'язків.



Похожие вопросы
Предмет: История, автор: Аноним
Предмет: Математика, автор: hujnidlavsakoj