Предмет: Алгебра,
автор: margarita01000000
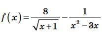
Знайдіть область визначення функції
Приложения:
Ответы
Автор ответа:
1
Ответ:
Все написанр во вложении
Приложения:
Похожие вопросы
Предмет: Математика,
автор: angelsuley
Предмет: Химия,
автор: andrejkanov974
Предмет: Русский язык,
автор: imronaliyev6
Предмет: География,
автор: dilarakuanyshbai
Предмет: Алгебра,
автор: leno211218