Предмет: Математика,
автор: kerimgasimov346
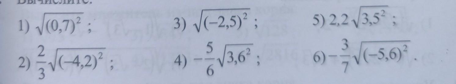
1. Вычислите дам 20 балов пожалуйста
Приложения:
Ответы
Автор ответа:
0
Вот ответ: если всех вычислит то тогда не знаю
Приложения:
Автор ответа:
0
1. 0,7
2. 14/5
3. 2,5
4. -3
5. 7,7
6. -12/5
2. 14/5
3. 2,5
4. -3
5. 7,7
6. -12/5
Похожие вопросы
Предмет: География,
автор: privalovmirosla19
Предмет: Українська мова,
автор: Sofa285566
Предмет: Биология,
автор: focyssun
Предмет: Русский язык,
автор: Аноним