Предмет: Алгебра, автор: JluTbIYKoKoSiK

Вычислите. (Только нечётные!)

Срочно пж

Приложения:

Ответы

Автор ответа: kseniya070509
1

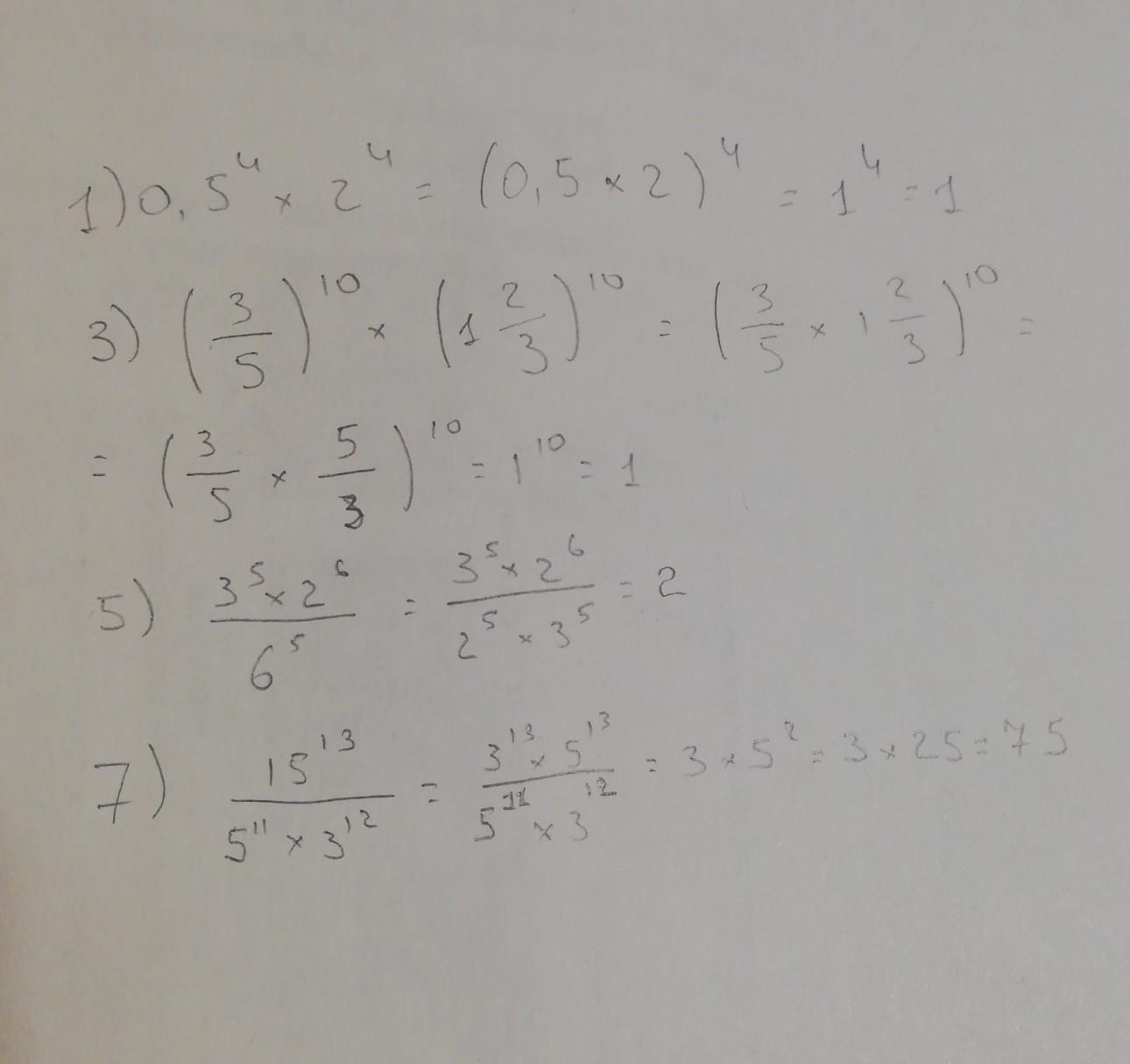
Ответ:

.1).1

.3).1

.5).2

.7).75

Приложения:

JluTbIYKoKoSiK: Спасибо
Автор ответа: koroliuksolomiya
1

Відповідь:

1, 1, 2, 75

Пояснення:

(0,5*2)^{4} = 1\\\\(\frac{3}{5} * 1\frac{2}{3})^{10}  = 1\\ \\\frac{3^{5}*2^{6}}{2^{5}*3^{5}} =  \frac{2^{6} }{2^{5}}  = 2\\\\\frac{3^{13}*5^{13}  }{5^{11}*3^{12}} = 3*5^{2}  =  3*25 = 75\\

Похожие вопросы
Предмет: Биология, автор: maranbojcuk811
Предмет: Английский язык, автор: yy8ycfgq8j
Предмет: Математика, автор: katiaberdnik2