Предмет: Алгебра, автор: valeraharin1

Избавиться от иррациональности
помогите пожалуйста срочно ​

Приложения:

Ответы

Автор ответа: Universalka
0

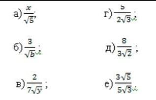
\displaystyle\bf\\1)\\\\\frac{x}{\sqrt{5} } =\frac{x\cdot\sqrt{5} }{\sqrt{5}\cdot \sqrt{5}  } =\frac{x\sqrt{5} }{5} \\\\2)\\\\\frac{3}{\sqrt{b} } =\frac{3\cdot\sqrt{b} }{\sqrt{b}\cdot \sqrt{b}  } =\frac{3\sqrt{b} }{b}\\\\3)\\\\\frac{2}{7\sqrt{y} } =\frac{2\cdot\sqrt{y} }{7\sqrt{y}\cdot \sqrt{y}  } =\frac{2\sqrt{y} }{7y} \\\\4)\\\\\frac{5}{2\sqrt{3} } =\frac{5\cdot\sqrt{3} }{2\sqrt{3}\cdot \sqrt{3}  } =\frac{5\sqrt{3} }{6}

\displaystyle\bf\\5)\\\\\frac{8}{3\sqrt{2} } =\frac{8\cdot\sqrt{2} }{3\sqrt{2}\cdot \sqrt{2}  } =\frac{8\sqrt{2} }{6} \\\\6)\\\\\frac{3\sqrt{5} }{5\sqrt{3} } =\frac{3\sqrt{5} \cdot\sqrt{3} }{5\sqrt{3}\cdot \sqrt{3}  } =\frac{3\sqrt{15} }{15} =\frac{\sqrt{15} }{5}

Похожие вопросы
Предмет: География, автор: hnedoy2011
Предмет: Математика, автор: alinadlaskevic