Предмет: Математика,
автор: sousegs2327
помогите пожалуйста
Приложения:
Ответы
Автор ответа:
0
Ответ:
Пошаговое объяснение:
1)
1. x+3y=2
x=2-3y
Из первого мы выразили х ибо он легче выражалься чем у и теперь подставляем в второе уравнение
2. 3x-2y=17
3(2-3y)-2y=17
6-9y-2y=17
6-11y=17
6-17=11y
-11=11y
y=-1
Нашли у находим х
x=2-3*-1
x=2+3
x=5
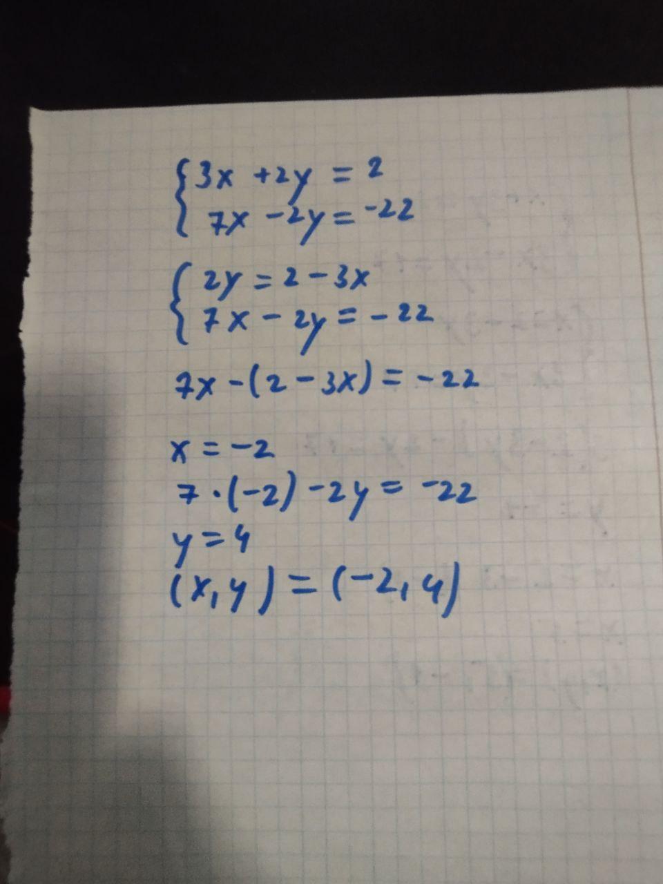
Автор ответа:
2
вот ответ, надеюсь поймешь:
Приложения:
Похожие вопросы
Предмет: География,
автор: viktoriabelka2010
Предмет: Русский язык,
автор: kseniyasagdeeva92
Предмет: Українська мова,
автор: unesnova9
Предмет: Алгебра,
автор: hamerqonon
Предмет: Математика,
автор: karamelkaelka22