Предмет: Алгебра,
автор: yaneznaunichego
Помогите пожалуйста!! ๑•̥﹏•̥๑
Приложения:
Ответы
Автор ответа:
1
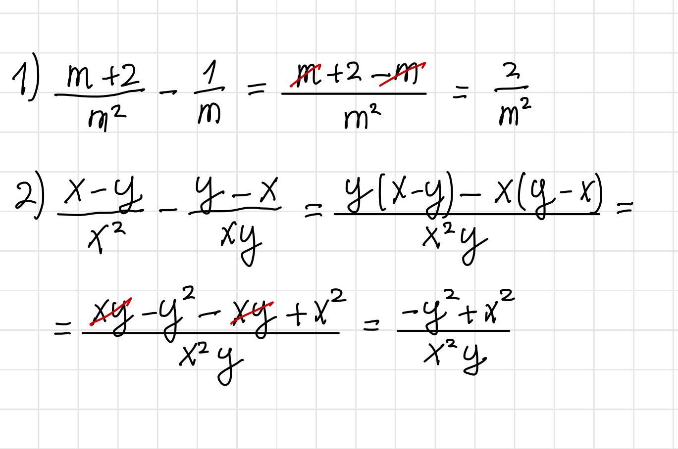
Відповідь:
Фото нижче
Приложения:
priler99:
Ще актуально? Не мав часу відповісти
Похожие вопросы
Предмет: Українська мова,
автор: XBaTai
Предмет: Физика,
автор: tanchikantik
Предмет: Другие предметы,
автор: dasadragan5
Предмет: Алгебра,
автор: natalya0212
Предмет: География,
автор: salahchinchaev01