Предмет: Алгебра,
автор: kravchukandrej30
пж добоможить даю 50 балов токо шоб вси завдання були зделани пжжжж
Приложения:
Ответы
Автор ответа:
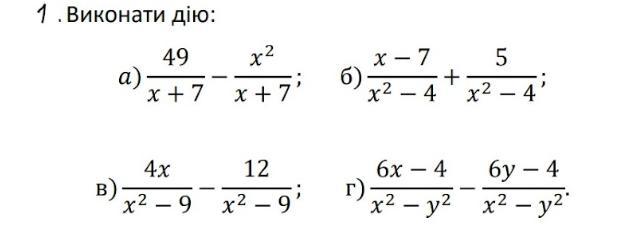
1
Ответ:
а) 7-х
б)1/х+2
в)4/х+3
г)6/х+у
Объяснение:
фото
Приложения:
Похожие вопросы
Предмет: Биология,
автор: meri1774
Предмет: Математика,
автор: adinabakyt908
Предмет: Информатика,
автор: dianakoskena
Предмет: Химия,
автор: kekustanking
Предмет: Қазақ тiлi,
автор: nurgaishautegen