Предмет: Алгебра,
автор: levakpo4ta100
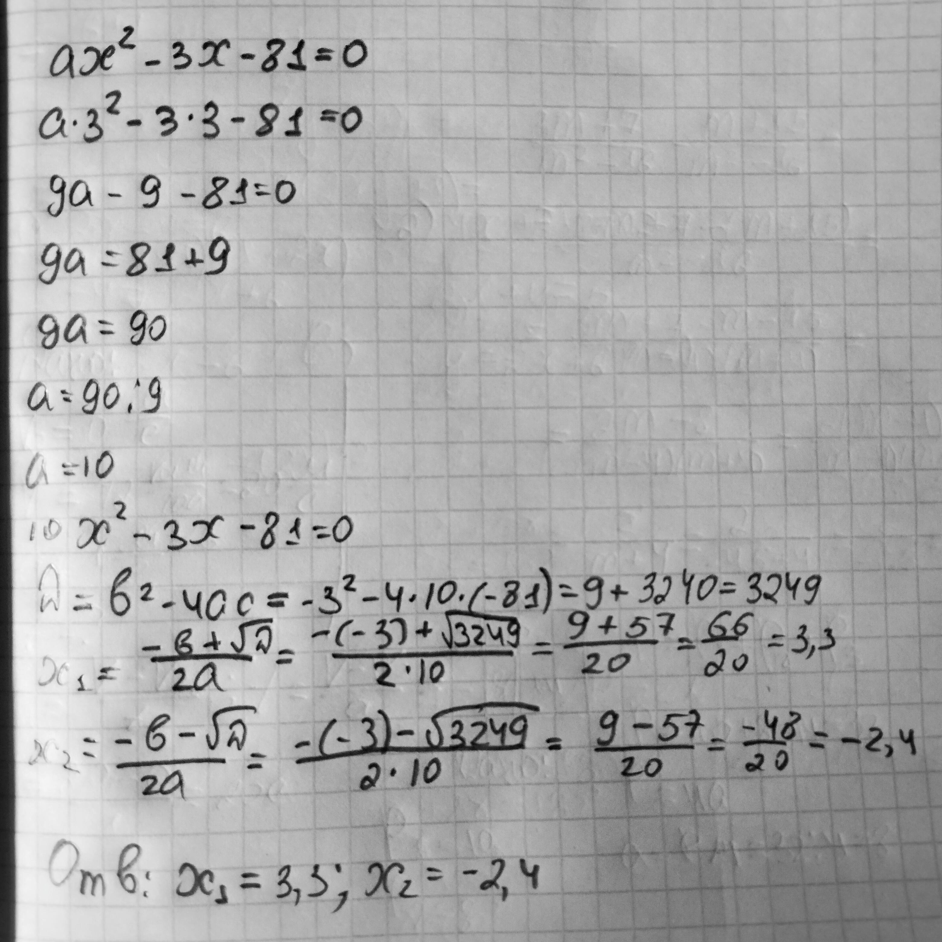
Один з коренів рівняння ax^2-3x-81=0 дорівнює 3.
Знайти інший корінь.
Ответы
Автор ответа:
2
Ответ:
Объяснение:
на фото
Приложения:
levakpo4ta100:
Спс
Возможно так, перепроверьте, давно такое не решал
Похожие вопросы
Предмет: Другие предметы,
автор: kuctatana598
Предмет: Физика,
автор: Cohendd
Предмет: Математика,
автор: vinarskamilla
Предмет: Литература,
автор: tyuihgft7
Предмет: Математика,
автор: aaaaaaak1109