Предмет: Алгебра, автор: UkAlinaUk

Допоможіть будь ласка, алгебра "виконання множення"

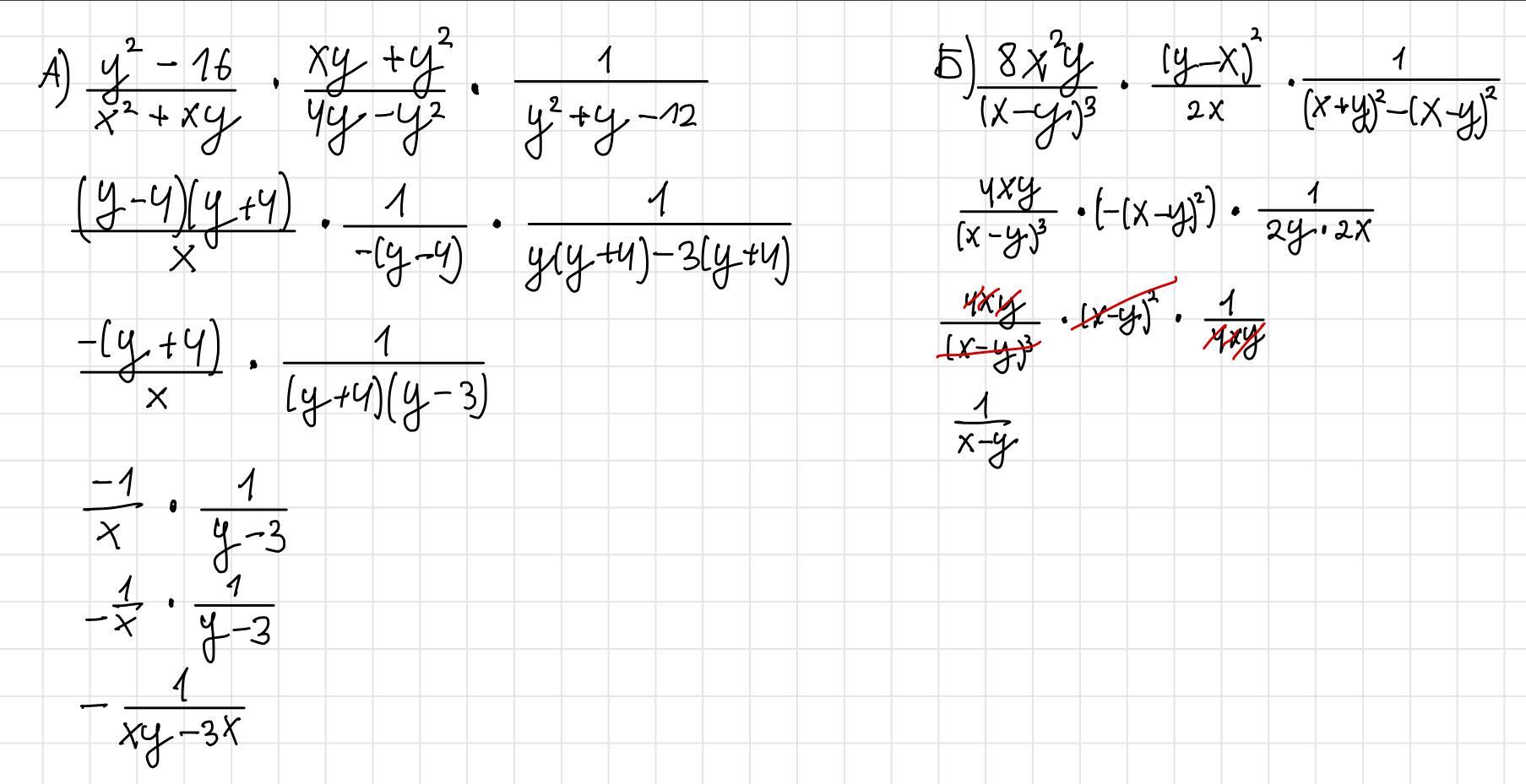
Приложения:

Ответы

Автор ответа: priler99
1

Відповідь:

Фото нижче:

Буду дуже вдячний за хорошу оцінку та «кращу відповідь»

Приложения:

UkAlinaUk: Велике спасибі!!!
Похожие вопросы
Предмет: Українська література, автор: sofiaflorkiv

1.Щодня на розмову приходив поет до:
а) друга;
б) лицаря;
в) діброви;
г) музи.

2.Поет боявся, щоб від нього не втекли:
а) думки;
б) рими;
в) однокласники;
г) мрії.

3.З якою метою Бертольдо з прислугою вирушив у гай?
а) Відпочивати;
б) збирати гриби;
в) на побачення;
г) на полювання.

4.Які риси характеру переважали у лицаря?
а) Сміливість, привітність;
б) упертість, гордість;
в) волелюбність, лагідність;
г) непокірність, порядність.

5.Для чого, за словами поета, «нема на світі ні застави, ні границі»?
а) широти кругозору;
б) поваги рідних;
в) вільних дум;
г) вдосконалення особистості.

6.За що віддав би все багатство поета лицар?
а) за поцілунок коханої дівчини;
б) за збільшення кількості воїнів;
в) за матеріальне збагачення;
г) за  ріст в очах конкурентів.

7.Скільки часу тривало весілля Бертольда та Ізідори?
а) Три дні;
б) тиждень;
в) місяць;
г) два місяці.

8.Хто заспокоїв розчароване військо Бертольда?
а) лицар;
б) поет;
в) Ізідора;
г) військові співці.

9. «Утікай, поки здоровий» - це:
а) улюблений вислів лицаря;
б) талісман Бертольда;
в) девіз війська;
г) заклик поета.

10. Про що співали у місті співці?
а) Про важке життя людей;
б) про розкішне життя панів;
в) про вірність та волю;
г) про щасливе майбутнє.

11. Поет відмовився від «золотих  лаврів», бо:
а) боявся деградувати;
б)  поетом вже не буде;
в) зрадить думам-блискавицям;
г) буде нещасливим.

12.Коли «скінчиться давня казка», то:
а) між нащадками зніметься «боротьба тяжка, завзята»;
б) «думи-чарівниці» не матимуть «ні застави, ні границі»;
в) «настане правда нова»;
г) «поет від свого люду не почує слів догани».

даю 60 балів​
Предмет: Физика, автор: kononov2007artem