Предмет: Математика,
автор: Hak333444566
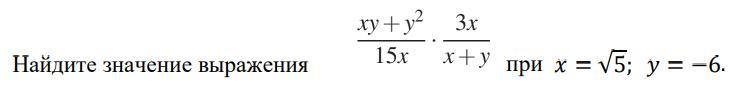
Решите пример пожалуйста
Приложения:
Ответы
Автор ответа:
1
Ответ:
Пошаговое объяснение:
Приложения:
Похожие вопросы
Предмет: Алгебра,
автор: gdgshw
Предмет: Українська мова,
автор: larisasavchenko1983
Предмет: Математика,
автор: zmnjncpy8n
Предмет: История,
автор: girlinred93
Предмет: Математика,
автор: prostogamer91