Предмет: Алгебра, автор: jnaut9073

Помогите пожалуйста очень нужно

Приложения:

Ответы

Автор ответа: WiseMysticalTree
1

Ответ:

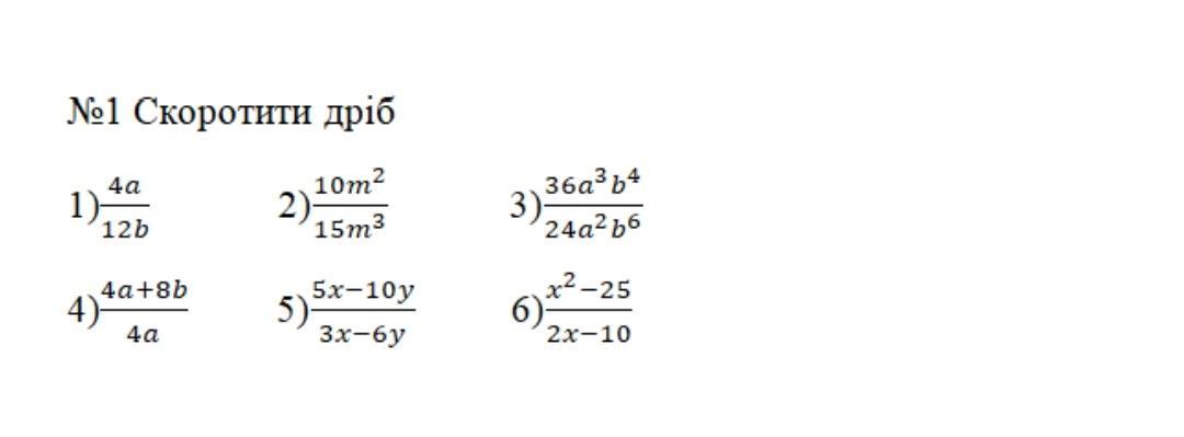
1) а/3b

2) 2/3m

3) 3a/2b²

4) a+2b/a

5) 5/3

6) x+5/2

Объяснение:

1) \frac{4a}{12b}   =  {?} \\

Скорочуємо найменший спільний дільник 4

 \frac{4a}{12b}  =  \frac{4a \div 4}{12b \div 4}  =  \frac{a}{3b}  \\

 ̄ ̄ ̄ ̄ ̄ ̄ ̄ ̄ ̄ ̄ ̄ ̄

2) \frac{ {10m}^{2} }{ {15m}^{3} } =  {?} \\

Скорочуєм вираз, основу залишаєм без змін степені треба відняти 3-2

 \frac{ {10m}^{2} }{ {15m}^{3} } =   \frac{10}{15m }  =  {?}\\

Скорочуємо спільний дільник 5

 \frac{ {10m}^{2} }{ {15m}^{3} } =   \frac{10}{15m }  =   \frac{2}{3m} \\

 ̄ ̄ ̄ ̄ ̄ ̄ ̄ ̄ ̄ ̄ ̄ ̄

3) \frac{36a^{3} b^{4} }{ {24a}^{2} {b}^{6}  }  =  {?} \\

Спрощуєм вираз(ділимо степені, їхні показники віднімаєм), потім скорочуєм спільний дільник 12

 \frac{36a^{3} b^{4} }{ {24a}^{2} {b}^{6}  }  =   \frac{36a {b}^{4} }{24b^{6} } =  \frac{36a}{ {24b}^{2} } =  \frac{3a}{2b^{2} }   \\

 ̄ ̄ ̄ ̄ ̄ ̄ ̄ ̄ ̄ ̄ ̄ ̄

4) \frac{4a + 8b}{4a}  =  {?} \\

Розкладаємо вираз на множники і скорочуємо дріб на 4

 \frac{4a + 8b}{4a}  =   \frac{4(a + 2b)}{4a}  =  \frac{a + 2b}{a} \\

 ̄ ̄ ̄ ̄ ̄ ̄ ̄ ̄ ̄ ̄ ̄ ̄

Розкладаємо вираз на множники, скорочуємо дріб на спільний дільник х-2у

5) \frac{5x - 10y}{3x - 6y}  =  \frac{5(x - 2y)}{3(x - 2y)}  =  \frac{5}{3}  \\

 ̄ ̄ ̄ ̄ ̄ ̄ ̄ ̄ ̄ ̄ ̄ ̄

Розкладаємо вираз на множники, скорочуємо дріб на спільний дільник х-5

6) \frac{ {x}^{2} - 25 }{2x - 10}  =  \frac{(x - 5)(x + 5)}{2(x - 5)}  =  \frac{x + 5}{2}  \\

Сподіваюся що допоміг

Похожие вопросы
Предмет: Английский язык, автор: homicdenis97