Предмет: Математика, автор: nastagorbokon

Знайдіть корінь рівняння:
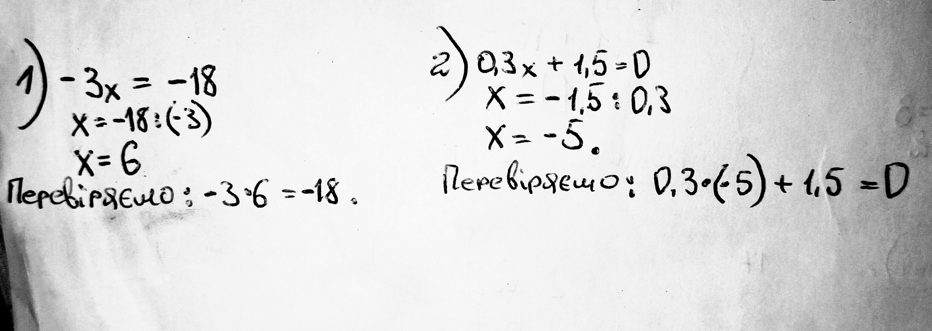
1) - 3х = -18
2) 0,3х + 1,5 = 0​

Ответы

Автор ответа: igoroykgm
2

Ответ:

1) Корень рівняння : 6 .

2) Корень рівняння : - 5 .

Пошаговое объяснение:

Приложения:
Автор ответа: iramazurk
1

Пошаговое объяснение:

-3х = -18

х = -18 : (-3)

х = 6

0,3х + 1,5 = 0

0,3х = -1,5

х = -1,5 : 0,3

х = -5

Похожие вопросы
Предмет: История, автор: abgasstepan5
Виділіть штрихуванням володіння Османської імперії та її васалів. 2. Обведіть кордони Речі Посполитої. . Зафарбуйте територію Запорожжя. Позначте Базавлуцьку Січ і фортецю Кодак 3 4. Підпишіть міста: Кам'янець, Вінниця, Київ, Біла Церква, Переяслав, Корсунь, Канів, Черкаси, Чигирин, Лубни, Говтва, Ясси. Цецора, Хотин, Очаків, Бахчисарай, Перекоп, Кафа, Азов, Стамбул, Синоп, Трабзон . 5. Накресліть головні походи Петра Конашевича-Сагайдачного. Підкресліть назву міста, де козаки Сагайдачного зупинили османську навалу, а самого гетьмана було смертельно поранено. 6. Позначте хрестиком Курукове озеро. Позначте міста, що стали центрами полків реєстрового козацтва за Куруківською угодою 1625 року, 7. Позначте місце перемоги козаків над польським військом, відомої як «Тарасова ніч» Укажіть рік цієї події. Масштаб 1.6.300 000 помогитеее пожалуйста ​