Предмет: Алгебра,
автор: rinatzykov
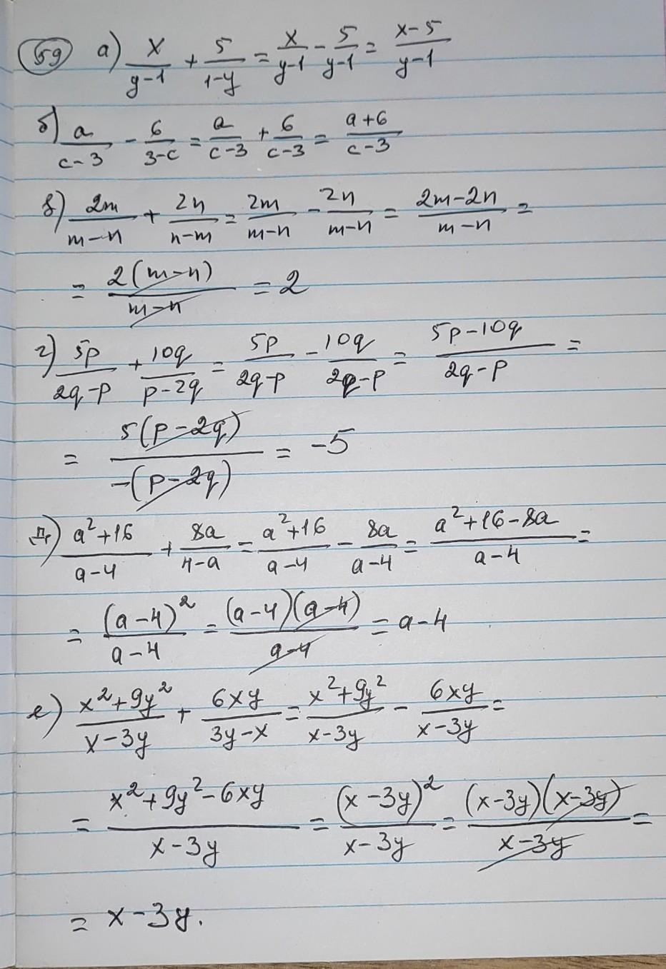
помогите срочно нужно
Приложения:
Ответы
Автор ответа:
1
Ответ:
.................
Объяснение:
..............,....
Приложения:
rinatzykov:
огромное спасибо
на здоровье♥️
Похожие вопросы
Предмет: Физкультура и спорт,
автор: pola91179
Предмет: Математика,
автор: Аноним
Предмет: Английский язык,
автор: nazik7146
Предмет: Математика,
автор: vklera4228
Предмет: Химия,
автор: layloyoldosheva7