Предмет: Алгебра, автор: bobikbanana

Розв'яжіть системи рівнянь будь ласка:(((​

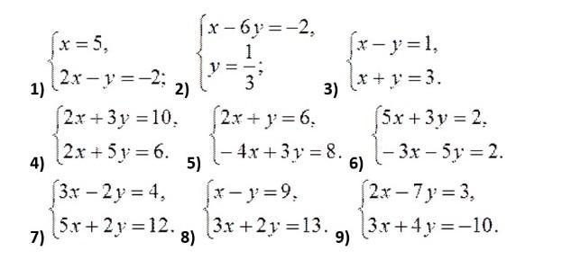
Приложения:

Ответы

Автор ответа: 202emailmy3562
1

1. х=5, у=12.

2. х=0, у=1\3.

3. х=2, у=1.

4. х=8, у=-2.

5. х=-1, у=4.

6. х=0, у=0.

7. х=2, у=1.

8. х=5, у=-4.

9. х=-5, у=3.

Похожие вопросы
Предмет: Қазақ тiлi, автор: Inikosh
Предмет: Биология, автор: Katja5689
Предмет: Русский язык, автор: ismayilovkenan20044
1укажите синонимы а) низкий, высокий б) глубокий долгий с) бежатьь мчаться д) безопасный , надёжный 2)укажите антонимы а) сухость , влажность б) победить , убедить с) глубокий , высокий д) верить обманывать 3) укажите слово которое не является омонимом омонимы : каток , музыка , точка , мир , ключ, вид 4) в прямом значении употреблено сло а) добрый человек б) каменное сердце с) сильный характер д) кислое выражение 5) укажите диалектизм а) мемуары б) имидж с) мшара д) матрёшка 6) слова связанные с особенностями работы людей тот или иной профессии - юто а) жаргонизмы б) диалектизмы с) архаизмы д) профессианолизмы 7) какие млова не являются заимственными а) спорстмен , глобус б) вода, самовар с) ландшафт мольберт д) календарь , бизнес 8) в прямом значении употреблены выделенные слова в словосочетаниях 1Громкий звук 2. Сладкая груша 3. Железные нервы 4.Мягкое середце 9) в переносном значении употреблены выделенные слова в словосочетаниях 1. Глухой человек 2. Золотая осень 3. Сильный ветер 4. Желещная дверь 10) омонимы это слова _ и той же _ _ , _ по звучанию и _ , но _ по лексическому значению 11) укажите существительные и глаголы соотвественно 1. грустно, весело 2. грусть , веселье 3. грусный, весёлый 4. грустить , веселиться 12) В каком ряду есть лишнее слово а) ходить , идти , ходьба б) дом, букварь , время с) увы, алло , ура д) перед , через , между 13) в каком предложении не ставится тире а) Баку столицаАзеобайджана б) Прилёт журавлей есть первая примета весны с) Знание вот наше богатство д) У неё сербйе словно камень 13) место , время , причину образ действия обозначает а) обстоятельство б) дополнение с) сказуемое д) определение 14 ) какие слово не является неологизмом а) скайп б) столица с) логин д) ксерокс пожалуйста срочно нужно по русскому языку за 5 минут дам 40 баллов пж пж пж пж пж​