Предмет: Алгебра,
автор: schlafwandler
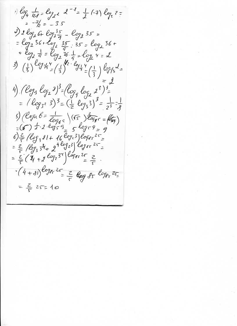
помоги пожалуйста решить хотя бы первых 6 примеров
Приложения:
Ответы
Автор ответа:
0
gthdst 6
Первые 6
=================================
Первые 6
=================================
Приложения:
Похожие вопросы
Предмет: Химия,
автор: kotov2952
Предмет: Физкультура и спорт,
автор: atocka699
Предмет: Математика,
автор: polinaozerova440
Предмет: Математика,
автор: svetutullka
Предмет: Литература,
автор: Элина26