Предмет: Алгебра,
автор: doogeexmini26
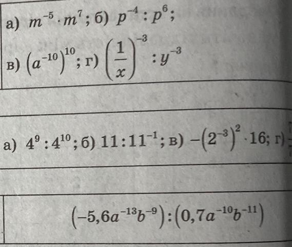
Помогите пожалуйста⠀⠀⠀⠀⠀
Приложения:
Ответы
Автор ответа:
1
Ответ:
Объяснение:
.... .....
Приложения:
hdjdhhhddhjdhxhbx:
Помоги пожалуйста https://znanija.com/task/53367377
Похожие вопросы
Предмет: Українська література,
автор: Anna2KK7
Предмет: Физика,
автор: krasnikovnazar62
Предмет: Химия,
автор: saytempo
Предмет: Математика,
автор: Аноним
Предмет: Математика,
автор: kirill3335