Предмет: Химия,
автор: NeyDachnik02
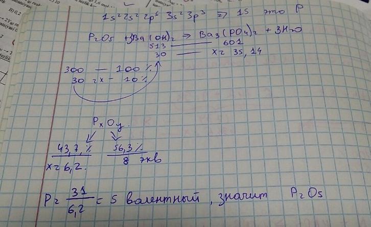
Химический элемент, электронная конфигурация которого...3s23p4, образует оксид, массовая доля кислорода в котором равна 60%. Данный оксид массой 2,4 г пропустили через раствор гидроксида бария массой 200 г с массовой долей щелочи, равной 15%. Определите массу (г) выпавшего осадка. Помогите пожалуйста!
Ответы
Автор ответа:
0
смотрите на фото) надеюсь помог
Приложения:
rastalisaa:
это видимо прохожая задача, но совершено не то.. дураку понятно, что химический элемент описанный в задаче - это сера.
Иди нах
теперь ясно, почему ты не понял, что это сера)))) ирония так и прет
скобочки для уверенности ?
чел написал что тут дураку понятно,ну так я и не дурак смысл мне понимать..
Похожие вопросы
Предмет: Математика,
автор: leravaleria453
Предмет: Английский язык,
автор: Galyna2612
Предмет: ОБЖ,
автор: nikitakluyev364
Предмет: Английский язык,
автор: elizavetaloginp1ik5f