Предмет: Алгебра,
автор: posuhzena
помогите пожалуйста даю 20 балов
Приложения:
Ответы
Автор ответа:
0
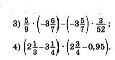
Ответ:
3)=
Объяснение:
лучше скачайте приложению дроби там все легче
Похожие вопросы
Предмет: История,
автор: irinavakoluk7
Предмет: Химия,
автор: gorshkovan599
Предмет: Литература,
автор: margaritagarbuz1381
Предмет: История,
автор: girlinred93
Предмет: Математика,
автор: vertunovaolga