Предмет: Математика,
автор: anonimm2330
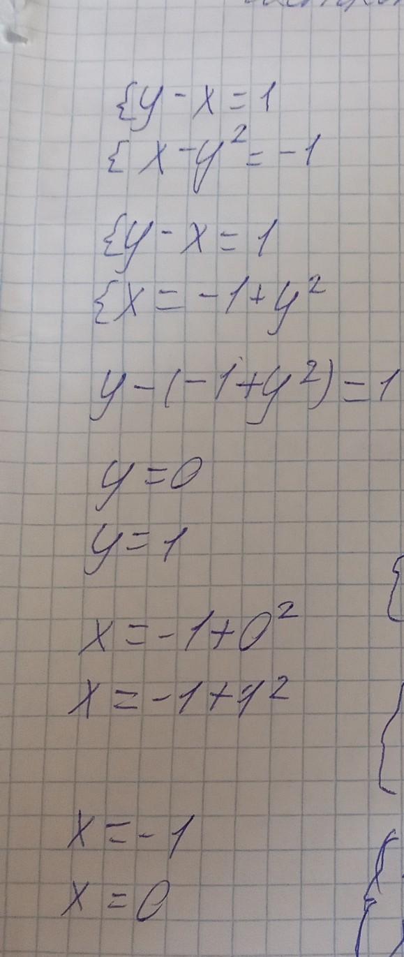
{y-x=1
{x-y²=-1
можете решить? заранее благодарю
Ответы
Автор ответа:
1
||відповідь|| ✓ це правильно
Приложения:
anonimm2330:
большоое спасибо,вы спасли меня!
Похожие вопросы
Предмет: Математика,
автор: zak07052007
Предмет: Українська мова,
автор: nikitaalovenko075
Предмет: Английский язык,
автор: v45821167
Предмет: Математика,
автор: Аноним