Предмет: Алгебра, автор: Nurzhan94

вычислите интеграл ..............................

Приложения:

Ответы

Автор ответа: NNNLLL54
1

Ответ:

При вычислении определённых интегралов применяем метод интегрирования с помощью замены . При этом надо менять пределы интегрирования согласно замене .  

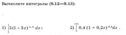
\bf \displaystyle 1)\ \ \int\limits_0^5\ 5\Big(1+3x\Big)^{-0,75}\, dx=\Big[\ u=1+3x\ ,\ du=3dx\ ,\ u_1=1\ ,\ u_2=16\ \Big]=\\\\\\=\frac{5}{3}\int\limits_1^{16}\ u^{^{-0,75}}\, dt=\frac{5}{3}\cdot \frac{u^{^{0,25}}}{0,25}\, \Big|_1^{16}=\frac{20}{3}\cdot (\sqrt[4]{\bf 16}-\sqrt[4]{\bf 1})=\dfrac{20}{3}\cdot (2-1)=\frac{20}{3}

\bf \displaystyle 2)\ \ \int\limits_0^{155}\ 0,4\Big(1+0,2x\Big)^{-0,6}\, dx=\Big[\ u=1+0,2x\ ,\ du=0,2dx\ ,\ u_1=1\ ,\\\\\\u_2=32\ \Big]=\frac{5}{3}\int\limits_1^{32}\ u^{^{-0,6}}\, dt=\frac{0,4}{0,2}\ \cdot \ \frac{u^{^{0,4}}}{0,4}\, \Big|_1^{32}=\frac{0,4}{0,2}\ \cdot \ \frac{u^{^{\frac{2}{5}}}}{0,4}\, \Big|_1^{32}=\\\\\\=5\cdot (\sqrt[5]{\bf 32^2}-\sqrt[5]{\bf 1})=5\cdot (\sqrt[5]{\bf 2^{10}}-\sqrt[5]{\bf 1})=5\cdot (2^2-1)=15    

Приложения:

Nurzhan94: спасибо вам, сейчас внимательно посмотрю и изучу, потому что эти тему с трудом мне даются только сейчас понимаю как решить, главное узнать ходы решение и комбинаций задач
Nurzhan94: можно спросить в первом заданий у2=16 и у1=1 откуда вышло
NNNLLL54: Нижний предел х=0 подставляем в замену: u=1+3x=1+3*0=1 . Затем верхний предел пересчитываем : x=5 , u=1+3х=1+3*5=16
Похожие вопросы
Предмет: Алгебра, автор: kseroksi