Предмет: Алгебра,
автор: turkovanatalia66
Розв'яжіть рівняння
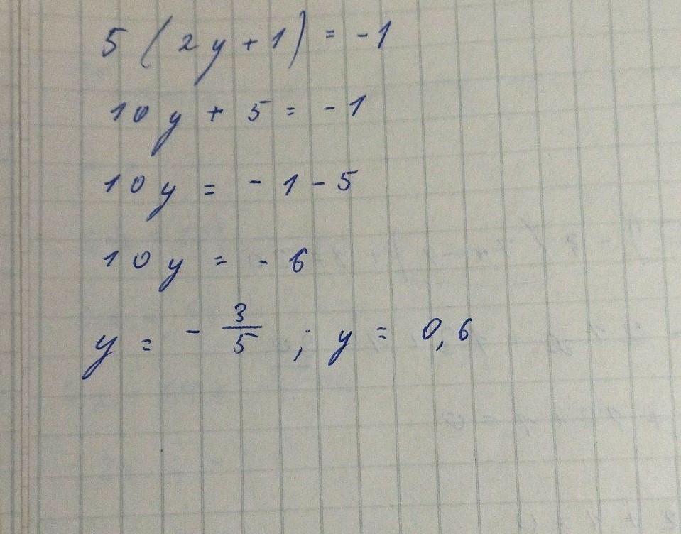
5(2y+1)=-1
Ответы
Автор ответа:
1
Ответ:
дивись відповідь на фото. бажаю успіхів!
Приложения:
Автор ответа:
1
5(2у+1)= -1
5•2у+5•1= -1
10у+5= -1
10у= -1-5
10у= -6
у= -6:10
у= -0,6
Ответ: -0,6
Похожие вопросы
Предмет: Математика,
автор: k90204687
Предмет: Другие предметы,
автор: nazarnaumov70
Предмет: История,
автор: kotok12032023
Предмет: Английский язык,
автор: aksauleaitbai45
Предмет: Английский язык,
автор: aksauleaitbai45