Предмет: Алгебра,
автор: Аноним
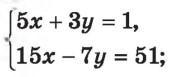
розв'яжіть систему рівнянь 5х+3у=1 15х-7у=51
прошу, помогите!!
Приложения:
Ответы
Автор ответа:
1
Ответ:
Фото
Объяснение:
Приложения:
Похожие вопросы
Предмет: Английский язык,
автор: gulnazkanybekkyzy5
Предмет: Русский язык,
автор: serikkyzysezim12
Предмет: Английский язык,
автор: aruzhkk23
Предмет: Математика,
автор: yaguge2019
Предмет: Алгебра,
автор: igifufirissiz346