Предмет: Физика,
автор: dmitrovanaala
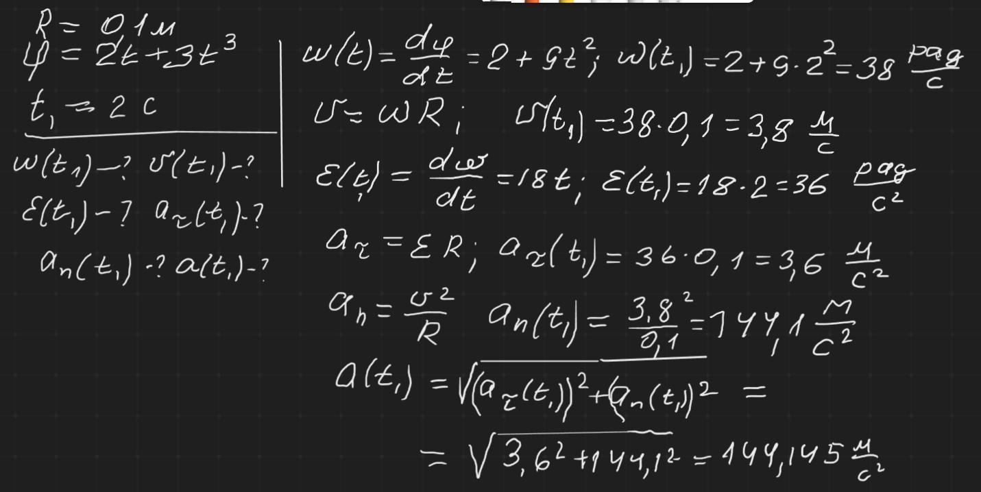
Помогите срочно решить задачу. Колесо радіусом R=0,1 м обертається так, що залежність кута повороту радіуса колеса від часу задається рівнянням: φ = А + Bt2 + Ct3 , де В = 6 с-2 і С=0,7 с-3. Знайти для точок, що лежать на ободі колеса, через час t=3 с після початку руху: а) кутову швидкість ω; б) швидкість v; в) кутове прискорення ε; г) дотичне аτ та нормальне аn прискорения.
Ответы
Автор ответа:
0
Ответ:
Відповідь: Див. додаток
Объяснение:
Приложения:
Похожие вопросы
Предмет: Математика,
автор: sashapolin0907
Предмет: Физика,
автор: nikitukvasil34
Предмет: Українська література,
автор: leo379005
Предмет: Английский язык,
автор: катяипапа000111