Предмет: Алгебра,
автор: danadizner43
ПОМОГИТЕ ЭТО РЕШИТЬ УМОЛЯЮ
Приложения:
Ответы
Автор ответа:
0
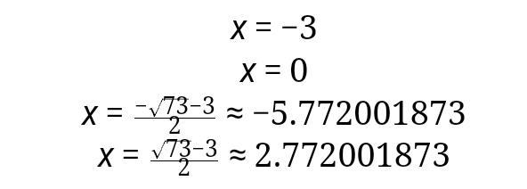
Ответ:
Объяснение:
Вот.
Приложения:
danadizner43:
а решение мне нужно
Похожие вопросы
Предмет: Українська мова,
автор: fegor5484
Предмет: Математика,
автор: maiborodaoksana04
Предмет: Математика,
автор: sokolnikovmaksim01
Предмет: Химия,
автор: cadyrovalei
Предмет: Алгебра,
автор: bokij79mailru