Предмет: Алгебра,
автор: 3468901347
Помогите пожалуйста решить систему уравнений. Алгебра. Пожалуйстаааа
Приложения:
Ответы
Автор ответа:
1
Вот я не знаю что это правильно или нет не знаю даже
Приложения:
3468901347:
Спасибо
Автор ответа:
1
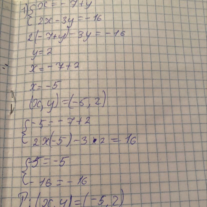
1) x = y - 7 ,
2x - 3y= -16
так как у нас уже известен x , то можем подставить х во второе уравнение:
2(y - 7) - 3y = -16
2y - 14 -3y = -16
-y = -2
y = 2
мы нашли y, теперь донайдем х.
используем 1 уравнение в системе и получаем
x = y - 7
x = 2 - 7
x = -5
2) y = x - 5,
4x + y = 10
действуем также, подставляем готовый у во второе уравнение.
4x + x- 5 = 10
5x = 15
x = 3.
теперь ищем у через х.
y = x - 5
y = 3 = 5
y = -2
Ответ: 1) x=-5, y=2 2) x=3, y=-2
Спасибо большое
Спасибо большое. Я решила сама, а по вашим ответам сверила. Почти все правильно решила, только минус лишний добавила. Спасибо ещё раз
не за что )
Похожие вопросы
Предмет: Английский язык,
автор: nadiasokolova22
Предмет: Биология,
автор: margokostiv
Предмет: Другие предметы,
автор: nazargricunak228
Предмет: Химия,
автор: julpetr0va
Предмет: Русский язык,
автор: anitaavetisyan60