Предмет: Алгебра,
автор: vladekoof
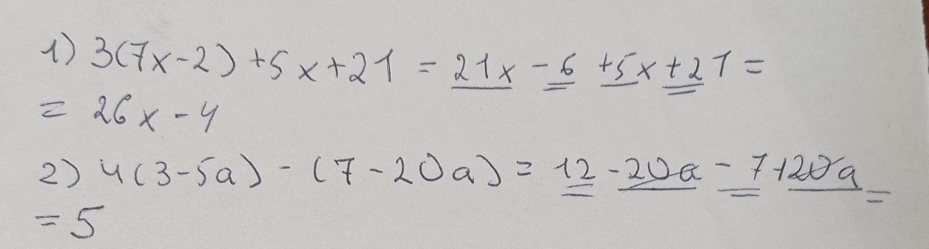
розкрийте дужки і зведіть подібні доданки
1)

2)

Ответы
Автор ответа:
2
удачи! смотри фото
:))))
Приложения:
vladekoof:
спасибо большое,сори за 1 звезду я просто быстро кликнул
пожалуйста! я подчеркивала некоторые числа одной или двумя полосками, это, если что, делать не обязательно)
привет а ты шаришь в укр мове если да то пожалуйста ответь на вопрос на моём акк
Похожие вопросы
Предмет: Математика,
автор: maksimlomykin7
Предмет: Қазақ тiлi,
автор: Deuusjs
Предмет: Қазақ тiлi,
автор: milanamubarakova09
Предмет: Математика,
автор: n07h4nx
Предмет: История,
автор: TheStrike666