Предмет: Алгебра, автор: nkushprobatya

помогите пожалуйста разобраться с этим ​

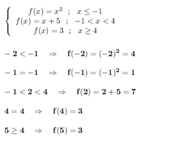
Приложения:

Ответы

Автор ответа: Gva149
0

Ось,дуже надіюсь що допомогла.Якщо не правильно то вибач((

Приложения:
Похожие вопросы
Предмет: Українська мова, автор: nataliya230589
Предмет: Физкультура и спорт, автор: stepurskaz14
Что такое массовый спорт (спорт для всех)?
a. спорт, который предполагает систематическую плановую многолетнюю подготовку и участие в соревнованиях в избранном виде спорта с целью достижения максимально возможных спортивных результатов, победы на крупнейших спортивных соревнованиях
b. регулярные занятия и участие в соревнованиях представителей различных возрастных групп в доступных им видах спорта с целью укрепления здоровья, коррекции физического развития и телосложения, повышения общей и специальной работоспособности, овладения отдельными жизненно необходимыми умениями и навыками, активного отдыха, достижения физического совершенства
c. коммерческо-спортивная деятельность, предусматривающая экономическую эффективность и высокую информационно-развлекательную ценность спортивно-зрелищных мероприятий