Предмет: Математика,
автор: katyavanzyak
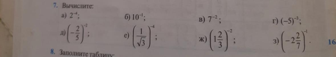
Помогите пожалуйста решить номер
Вычислите:
Приложения:
Ответы
Автор ответа:
0
Ответ:
Пошаговое объяснение:
Приложения:
Похожие вопросы
Предмет: Математика,
автор: murgarigina
Предмет: Геометрия,
автор: daapilipenko
Предмет: Английский язык,
автор: vitalii1343
Предмет: Русский язык,
автор: petel93