Предмет: Алгебра,
автор: islamshijanserik
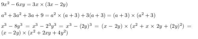
9x2-6xy=
a³+3a²+3a+9=
x³-8y3=
Ответы
Автор ответа:
0
Відповідь: все на фото
Приложения:
islamshijanserik:
где ты раньше был
Похожие вопросы
Предмет: Английский язык,
автор: Nastya09201
Предмет: Английский язык,
автор: filonenkomatvej5587
Предмет: Английский язык,
автор: polinaberestechka
Предмет: Английский язык,
автор: aksauleaitbai45
Предмет: Алгебра,
автор: Аноним