Предмет: Математика,
автор: mavlyankulovazahro
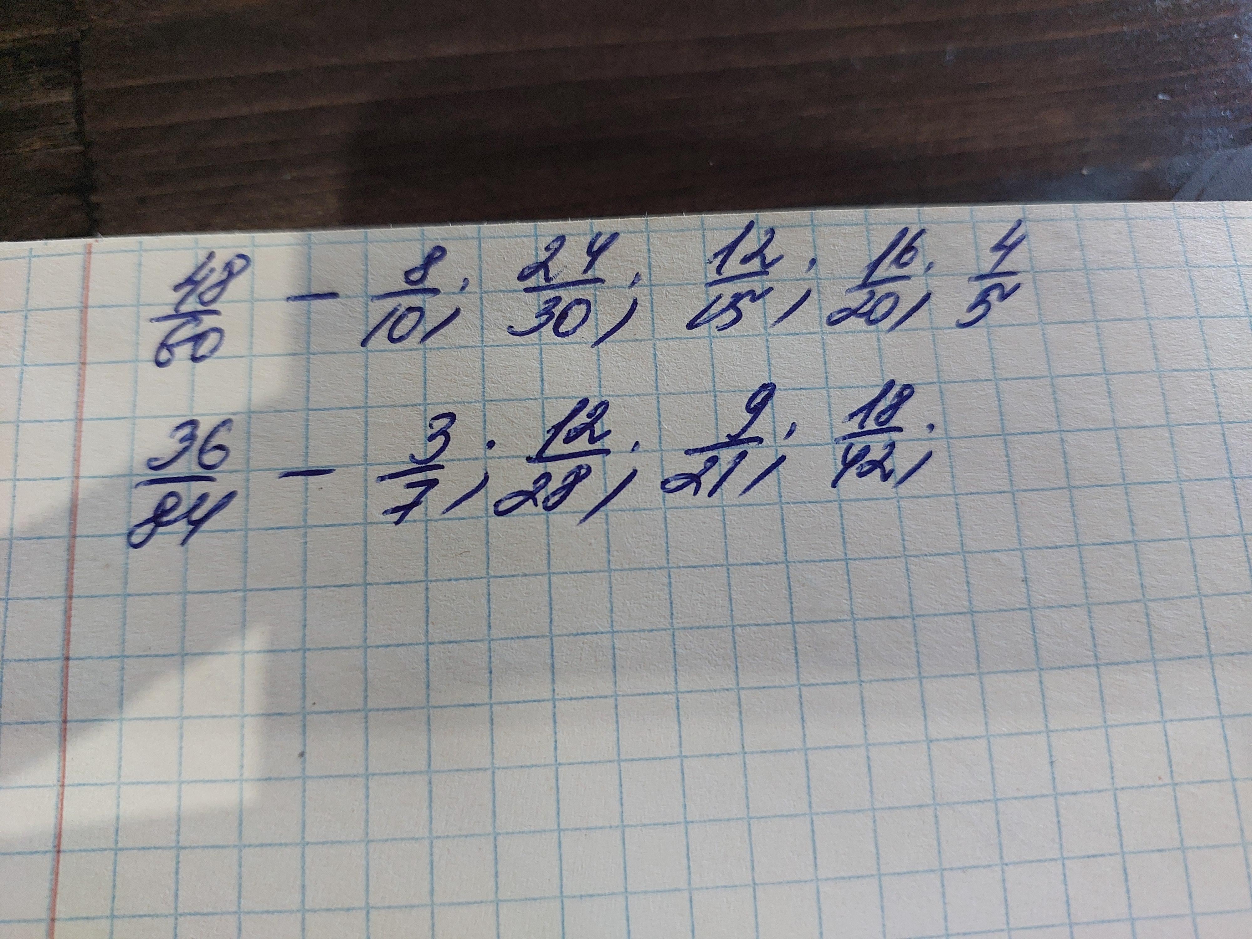
8.какая из дробей равна 48/60, а какая- 36/84 помогите плиз
Приложения:
Ответы
Автор ответа:
128
Ответ:
Пошаговое объяснение:
Приложения:
mavlyankulovazahro:
спасибо
Пожалуйста
Спасибо большое за информацию
огромное тебе спасибо
Ты оказывается профессорша Я думала что это будет сложно я с тобой просто
спасибо
Чел хорош
Пасибки
Спасибки
Похожие вопросы
Предмет: Литература,
автор: jimdem299
Предмет: Немецкий язык,
автор: karianka37
Предмет: Литература,
автор: korzikgeorgij
Предмет: Английский язык,
автор: asylbekasylaj09
Предмет: Физика,
автор: zhanfikinetovfi