Предмет: Алгебра,
автор: z6zvtjqdp
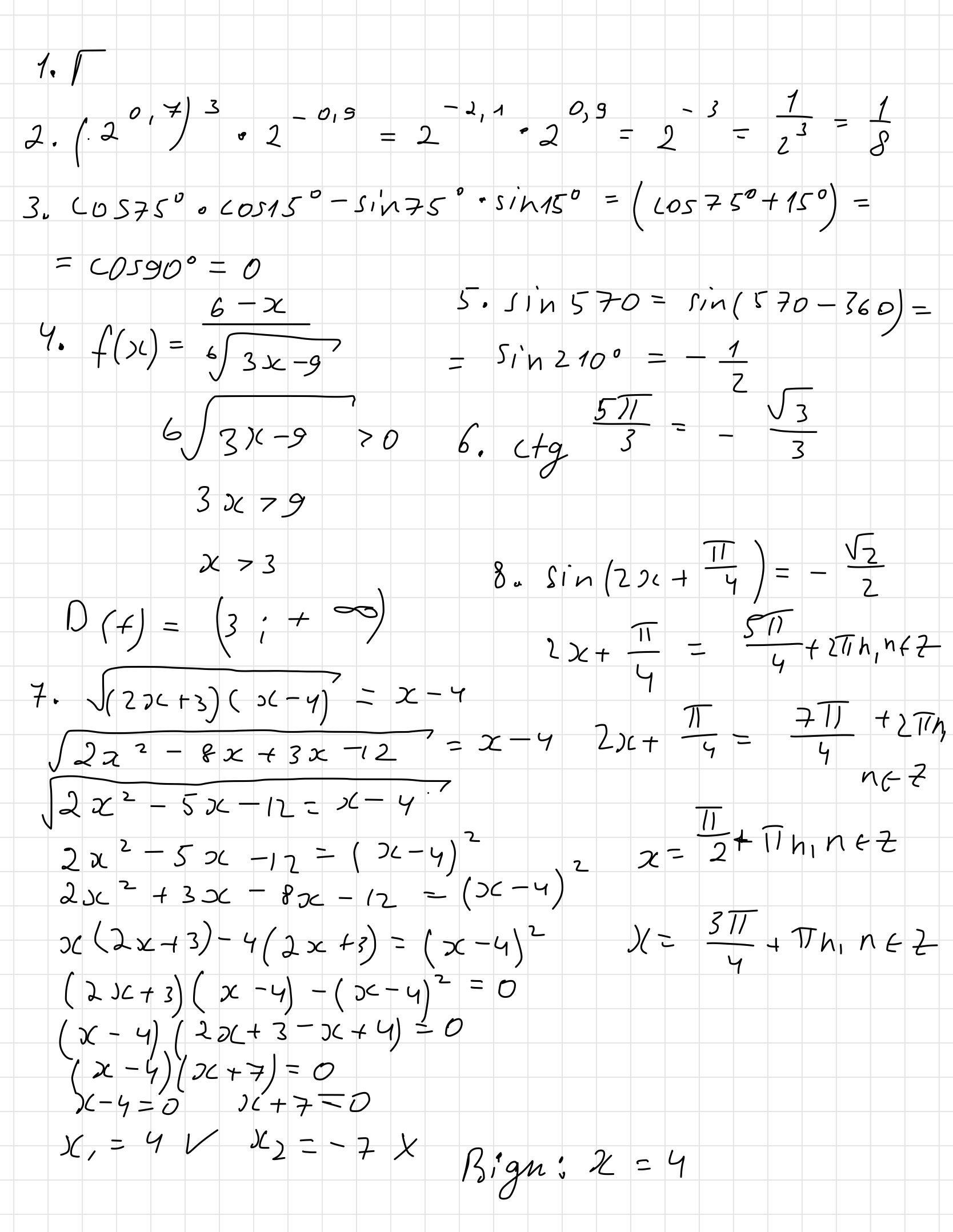
Алгебра допоможіть завдання на фото
Приложения:
Ответы
Автор ответа:
1
Ответ:
то все, що помістилось
Объяснение:
Приложения:
Похожие вопросы
Предмет: Математика,
автор: Аноним
Предмет: Английский язык,
автор: 2008613
Предмет: Українська література,
автор: n93003060
Предмет: Литература,
автор: lizakostrukova08
Предмет: Английский язык,
автор: sanyakolesnik077