Предмет: Алгебра,
автор: KaidoNNN
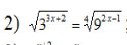
решить пример, помогите пожалуйста
Приложения:
Ответы
Автор ответа:
1
Ответ:
x=-3
Объяснение:
решение на фото
Приложения:
Похожие вопросы
Предмет: Математика,
автор: botpestov
Предмет: Математика,
автор: maralbinoliyeva07
Предмет: Математика,
автор: anastasiabogomolovaa
Предмет: Математика,
автор: yana20053009
Предмет: Физика,
автор: poncikalina