Предмет: Физика,
автор: realmaryjones
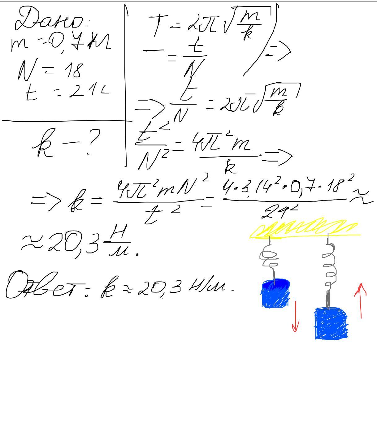
знайдіть жорсткість пружини якщо якщо підвішений на ній тягарець масою 700г здійснює 18 коливань за 21 секунду
Ответы
Автор ответа:
0
Ответ: k=20,3 H/м.
Объяснение:
Здравствуйте, спасибо за задачу. Решение предоставлено на фотографии.
С уважением, Владимир.
Приложения:
Похожие вопросы
Предмет: Физика,
автор: wiwowok
Предмет: Алгебра,
автор: anastasiya241208
Предмет: Литература,
автор: halilovafelis
Предмет: Физика,
автор: хорошист12345678911
Предмет: Физика,
автор: хорошист12345678911