Предмет: Алгебра,
автор: neoralniybogen
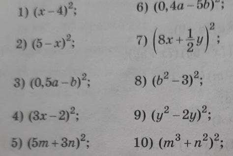
Даю 20 баллов! решить задачи 1-10
Приложения:
Ответы
Автор ответа:
0
Ответ:
Объяснение:
1) (х-4)2 = -4*(-4)х = 16х
2) (5-х)2 = 5*5х = 25х
3)(0,5а-б)2 = 0,25аб
4) (3х-2)2=1х
5) (5м + 3н)2=64мн
6)(0,4а-5б)2=21,16аб
7)(8х+1/2у)2=56,25ху
8)(б2-3)2=б4-6б2+9
9)(у2-2у)2=у4-4у3+4у2
10) (м3+н2)2=м6+2мн2+н4
( все что большие цыфри после букв маленькие сверху
neoralniybogen:
спасибо большое,очень благодарен вам
Похожие вопросы
Предмет: Химия,
автор: DaffNick
Предмет: Математика,
автор: mazarvadim
Предмет: Английский язык,
автор: sofiafedoriv007
Предмет: Українська мова,
автор: Аноним
Предмет: Математика,
автор: mindfreezer