Предмет: Алгебра, автор: anchosst

-2x²+5x+3>0 решить неравенство методом интервалов
желательно показать интервал​

Ответы

Автор ответа: polarkat
2

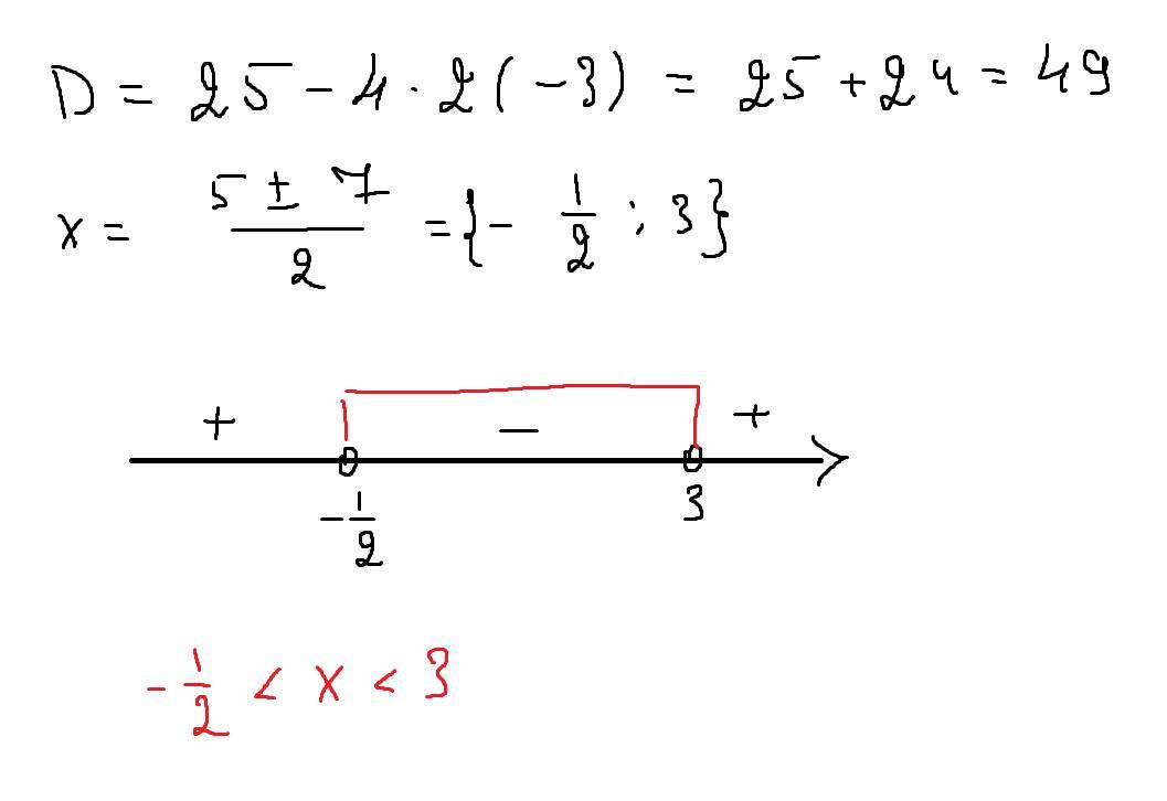
-2x^2+5x+3 > 0\Leftrightarrow 2x^2-5x-3 < 0

Приложения:

ГАЗ52: Почему деленное на 2?
ГАЗ52: Запись,указанная в решении правильная, но возможно и так Х₁=(5-7)/4=-1/2, х₂=(5+7)/4=3
х∈(-1/2;3)
polarkat: Да это парень, которому в жизни заняться нечем, вот он и сидит сутками мониторит))
ГАЗ52: Это Вы про меня?
polarkat: Нет, тут парень писал, хейтер этого сайта)
Похожие вопросы
Предмет: Русский язык, автор: dd4103462
Найдите предложения, в которых НЕВЕРНО употреблено выделенное слово. Исправьте лексическую ошибку, подобрав к выделенному слову пароним. Запишите исправленные предложения (6 баллов) 1) ТУРИСТСКОЕ агентство предоставляет путёвки по сниженным ценам. 2) Многие из нашей школы считали моего одноклассника Артёма очень АРТИСТИЧЕСКИМ юношей. 3) Определив меня в русский ДРАМАТИЧНЫЙ театр почти сразу меня начали вводить в разные спектакли, иногда даже на главные роли. 4) Сегодня Анечка была НАДЕТА в белое ситцевое платьице с голубым кружевным воротничком. 5) К сожалению, старания не принесли ЖЕЛАТЕЛЬНОГО успеха. 6) Когда знания выстроились в ЛОГИЧНУЮ цепочку оставалось только удивляться силе, сноровке и многофункциональности снабжённого крыльями тела. 7) Некоторые существа могут обретать ЧЕЛОВЕЧНЫЙ облик, при этом вторая​
Предмет: География, автор: Аноним
Предмет: Математика, автор: mindfreezer