Предмет: Алгебра,
автор: anna01665
помогите срочна ......
Приложения:
Ответы
Автор ответа:
1
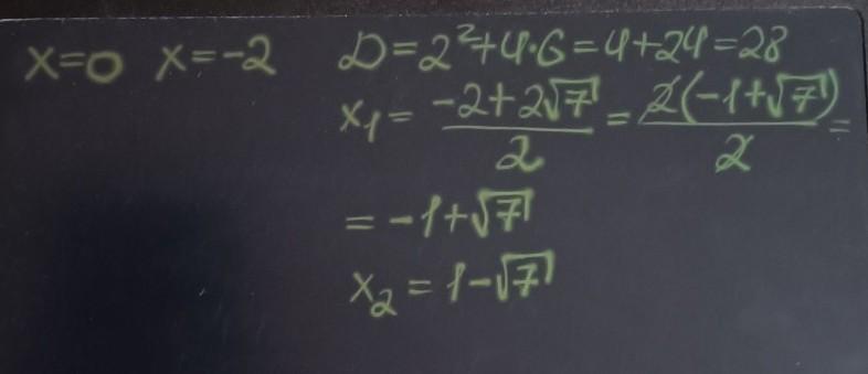
Ответ:
на фото всё решение есть
Приложения:
Похожие вопросы
Предмет: Математика,
автор: ManiManimanY
Предмет: Английский язык,
автор: katyagladkihk1
Предмет: Биология,
автор: valeriaveklic096
Предмет: Алгебра,
автор: blyshchakoksanal6931
Предмет: Алгебра,
автор: blyshchakoksanal6931
anechka_uwu_