Предмет: Алгебра,
автор: zhdanova2003ru10
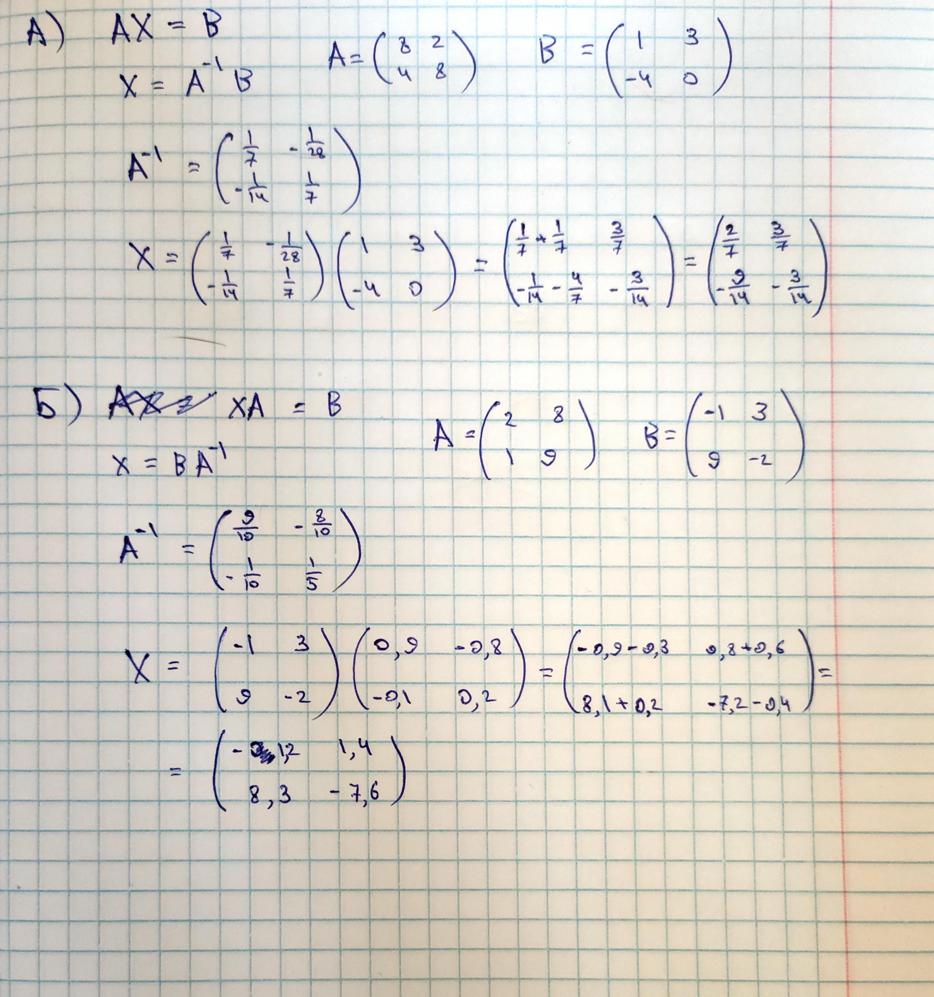
Решить матричное уравнение, с полным решением
Приложения:
Ответы
Автор ответа:
1
A) Ответ: ( (2/7 3/7) (-9/14 -3/14) )
Б) Ответ: ( (-1,2 1,4) (8,3 -7,6) )
На 1 фотографии представлено решение задание. На 2 фотографии нахождение обратной матрицы (А^(-1))
Приложения:
Похожие вопросы
Предмет: География,
автор: moiseievayekateryna
Предмет: Русский язык,
автор: munirasundet
Предмет: Русский язык,
автор: zhasik1858
Предмет: Химия,
автор: mikhailenkomariia