Предмет: Математика,
автор: sasha16018
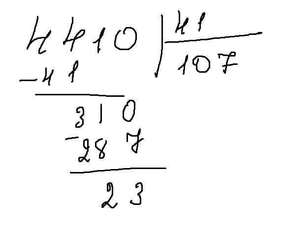
441 0 ÷ 41 в столбик
Ответы
Автор ответа:
1
Решение на фото ....
Приложения:
tаtyana:
)))
Похожие вопросы
Предмет: Математика,
автор: kristinapihno
Предмет: История,
автор: abiltajzaslan
Предмет: Українська мова,
автор: gacasa951832
Предмет: Физика,
автор: Azeriproboy
Предмет: История,
автор: ibadova2