Предмет: Алгебра, автор: aystsan

помогите пожалуйста решить,очень надо

Приложения:

Ответы

Автор ответа: сок111213
1

Формула разности квадратов: х² - у² = (х-у)(х+у)

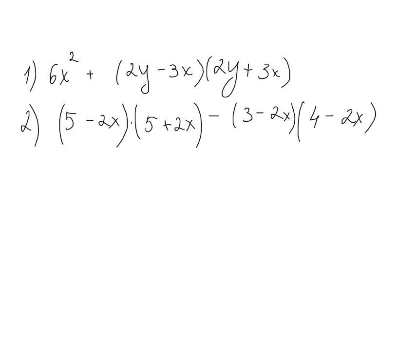
1)

6 {x}^{2}  + (2y - 3x)(2y + 3x )= 6 {x}^{2}  + (2y) {}^{2}  - (3x) {}^{2}  =  \\  = 6 {x}^{2}  + 4 {y}^{2}  - 9 {x}^{2}  =  - 3 {x}^{2}  + 4 {y}^{2}

2)

(5 - 2x)(5 + 2x) - (3 - 2x)(4 -2 x) =  \\  =  {5}^{2}  - (2x) {}^{2}  - (12 - 6x - 8x + 4 {x}^{2} ) =  \\  = 25 - 4 {x}^{2}  - 12 + 14x - 4 {x}^{2}  =  \\  =  - 8 {x}^{2}  + 14x + 13

Похожие вопросы
Предмет: Английский язык, автор: virakacimova1234
Предмет: Английский язык, автор: kiticenkodavid136
Предмет: Русский язык, автор: wsxgnjywqXcew