Предмет: Алгебра,
автор: ВладимирБ
Решите неравенство...
Приложения:
Ответы
Автор ответа:
2
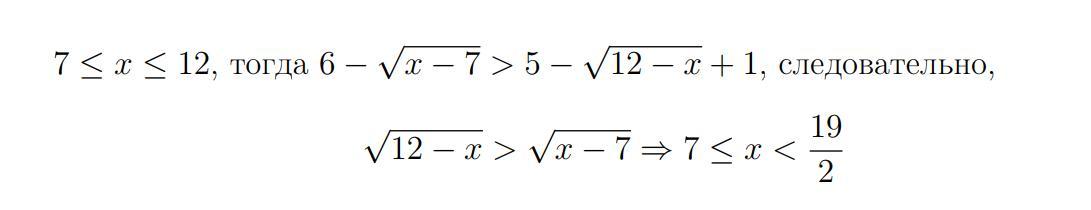
Пояснения последней строчки
Приложения:
Похожие вопросы
Предмет: Українська мова,
автор: 11Wiktoria11
Предмет: Алгебра,
автор: eujsjsjsjjjj
Предмет: Қазақ тiлi,
автор: ilubaevdilnaz
Предмет: Русский язык,
автор: nsnsvsish