Предмет: Математика,
автор: Danilponedelkin
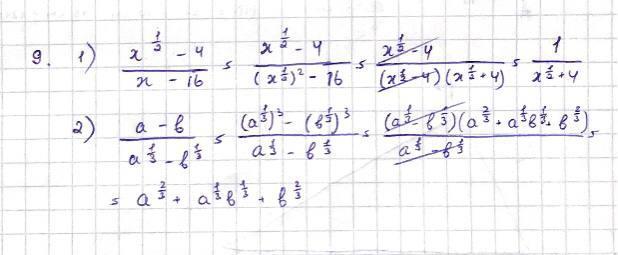
допоможіть будь ласка з математикой(на фото)
Приложения:
Ответы
Автор ответа:
0
Відповідь:
все, що знала - написала
Приложения:
Похожие вопросы
Предмет: Русский язык,
автор: Mohitash92
Предмет: Русский язык,
автор: nb495011
Предмет: Русский язык,
автор: tungushpaevaset2013
Предмет: Химия,
автор: bulanindanil
Предмет: География,
автор: IbragimBatkaev