Предмет: Алгебра, автор: makszbirnya

III. Построить график функции у=-х²+6х-5 по алгоритму. В формуле, задающей квадратичную функцию, выделить полный квадрат двучлена.​

Ответы

Автор ответа: Alnadya
0

Решение .

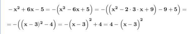
Построить график функции. Выделить полный квадрат .

\bf -x^2+6x-5=-\Big(x^2-6x+5\Big)=-\Big(\Big(x^2-2\cdot 3\cdot x+9\Big)-9+5\Big)=\\\\=-\Big(\Big(x-3)^2-4\Big)=-\Big(x-3\Big)^2+4=4-\Big(x-3\Big)^2  

Чтобы построить график , надо параболу  у = х²  сдвинуть вдоль оси ОХ на 3 единицы вправо и вдоль оси ОУ на 4 единицы вверх . Затем отобразить параболу относительно оси ОХ .

Приложения:
Похожие вопросы
Предмет: Математика, автор: krj25053