Предмет: Алгебра,
автор: lololllollo
математика 6 клас......
Приложения:
Ответы
Автор ответа:
0
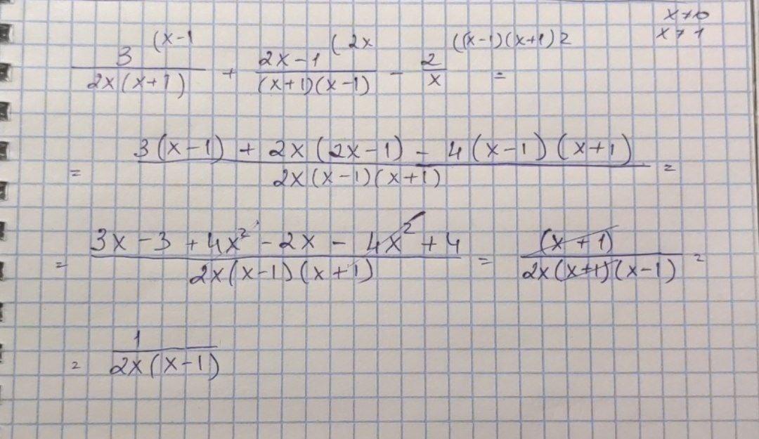
Доброго времени суток. Решение во вложении
Приложения:
Похожие вопросы
Предмет: Математика,
автор: Docket18
Предмет: Математика,
автор: furman0611
Предмет: Другие предметы,
автор: Fox3902
Предмет: Математика,
автор: marina4333
Предмет: Русский язык,
автор: mrwisckes