Предмет: Алгебра,
автор: nastunarosuk
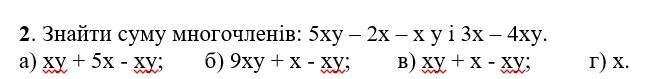
ПОМОЖІТЬ ВСЕ НА ФОТО
ТІЛЬКИ ПРАВИЛЬНО
Приложения:
nastunarosuk:
БУДЬ ЛАСКА
Ответы
Автор ответа:
1
Объяснение:
вот, роде правильно.............
Приложения:
Похожие вопросы
Предмет: Українська мова,
автор: anggggggg15
Предмет: Геометрия,
автор: katekr511
Предмет: Алгебра,
автор: lizagrib315
Предмет: Биология,
автор: sashaklaposchuk
Предмет: Русский язык,
автор: Krasasavcik07